吸附萃取搅拌棒选择指南

时间: 2023-12-07
作者: 百灵威
分享:
吸附萃取搅拌棒选择指南-百灵威

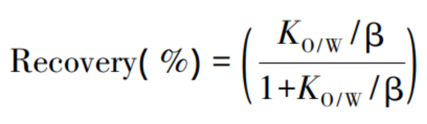
搅拌棒吸附萃取技术中,分析物的萃取率是搅拌棒萃取相与水相(w)之间分配系数,与平衡时正辛醇-水(K萃取相/W≈KO/W)的分配系数相似。通常,非极性溶质的 log KO/W 值≥3,而极性较强的溶质的 log KO/W值≤3。

理论萃取率可以用以下的公式进行计算:其中β是水相样品体积与萃取相体积的比值。

在实际应用中的回收率会受到萃取动力学因素、样品基质以及搅拌棒萃取相涂层材质的影响。

PDMS涂层
即聚二甲基硅氧烷涂层,是最早出现的SBSE涂层,适用于 log KO/W>4 的非极性或低极性化合物,可用于环境水样、食品、农药残留、药物残留以及挥发性物质(VOC)的分析,不适合直接萃取和分析强极性化合物,如需使用要对分析物先进行衍生化。
涂层信息 货号
10 mm × 0.5 mm,非极性 983596
10 mm × 1 mm,非极性 982963
20 mm × 0.5 mm,非极性 949251
20 mm × 1 mm,非极性 9116973
ACAR/PDMS涂层
即活性炭/聚二甲基硅氧烷涂层,适用于中等极性或极性分析物、芳香化合物以及无机金属离子,可应用于环境水样中的金属离子分析、香精、香料、农药残留、及挥发性物质(VOC)分析。
涂层信息 货号
10 mm × 0.5 mm,双极性 961654
10 mm × 1 mm,双极性 964921
20 mm × 0.5 mm,双极性 954842
20 mm × 1 mm,双极性 9117011
PDMS/DVB
即二乙烯基苯/聚二甲基硅氧烷涂层,适用于中等极性或极性分析物,可应用于环境水样、食品、农药残留、药物残留以及挥发性物质(VOC)。
涂层信息 货号
10 mm × 0.5 mm,双极性 927799
10 mm × 1 mm,双极性 995397
20 mm × 0.5 mm,双极性 927799
20 mm × 1 mm,双极性 9116974
点击货号查看产品详情
更多信息,请关注百灵威分析公众号
百灵威分析公众号
相关阅读
小身材大本领——搅拌棒吸附萃取技术
固相微萃取探针的选择和使用指南
固相微萃取探针 — 实现纳克级样品前处理
    advertisement