冯氏配体——高效简便构建手性大环内酯化合物

时间: 2023-10-12
作者: 百灵威
分享:
"冯氏配体——高效简便构建手性大环内酯化合物 "-百灵威
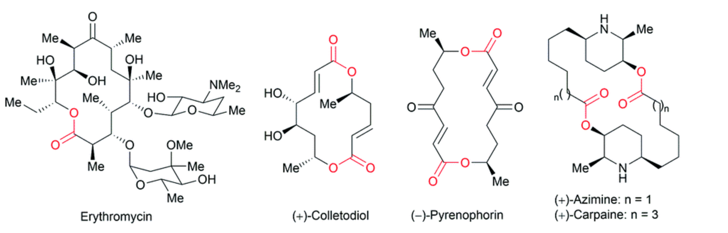
    大环内酯骨架在抗生素、抗癌药物和天然产物中广泛存在,因独特的结构和显著的生物活性而受到持续关注。大环内酯最常用的合成策略是大分子内酯化,它主要依赖于酰基活化,转化条件苛刻。探索高效简便的合成方法来构建新型大环内酯具有重要意义。
图1 具有手性大内酯单元的药物和天然产物
图1 具有手性大内酯单元的药物和天然产物
    四川大学冯小明院士课题组以L-PiPr2/Sc(OTf)3配合物为催化剂,催化邻亚甲基苯醌和C3取代吲哚进行不对称串联Friedel-Crafts烷基化/分子间大分子内酯化反应,通过调节吲哚中C3位碳链的长度,可以很容易以中等至良好的产率获得一系列具有16、18或20元环的手性大环双内酯化合物,为大环内酯合成研究提供了新思路[1]
图2 冯氏手性氮氧配体/Sc(III)配合物催化合成大分子内酯化合物
图2 冯氏手性氮氧配体/Sc(III)配合物催化合成大分子内酯化合物

    百灵威独家供应四川大学冯小明院士开发的冯氏手性氮氧配体系列产品,还可提供多种金属盐、碱和溶剂等配套产品。冯氏配体优势如下:

  • 广谱性强:可用作有机小分子催化剂,也可作为配体与多种金属形成配合物催化剂,均显示出优良的立体选择性;
  • 结构可调:兼具刚性和柔性,可根据反应需求进行取代基修饰;
  • 溶解性好,性质稳定:极性、非极性溶剂都可溶,对水和空气不敏感,常温即可反应。
冯氏手性氮氧配体
品名 CAS 货号
NO-Feng-PDiPPPi, L-PiPr2, 99%
NO-冯-PDiPPPi
1000051-40-0 1595285
NO-Feng-PDEtPPi, L-PiEt2, 95%
NO-冯-PDEtPPi
1313215-46-1 2699018
NO-Feng-PDMPPi, L-PiMe2, 95%
NO-冯-PDMPPi
1227411-35-9 2699017
More
金属盐
品名 CAS 货号
Scandium(III) triflate, 98%
三氟甲磺酸钪
144026-79-9 302513
Yttrium(III) trifluoromethanesulfonate, 98%
三氟甲磺酸钇(III)
52093-30-8 214543
Ytterbium(III) trifluoromethanesulfonate, 98%
三氟甲磺酸镱(III)
54761-04-5 904954
More
品名 CAS 货号
Cesium carbonate, 99%
碳酸铯
534-17-8 129355
N,N-Diisopropylethylamine, 99%
N,N-二异丙基乙胺
7087-68-5 247222
More
溶剂
品名 CAS 货号
Acetonitrile, 99.9%, SuperDry, water≤10 ppm, J&KSeal
乙腈
75-05-8 980779
Dichloromethane, 99.9%, SuperDry, with molecular sieves, water≤30 ppm, J&KSeal
二氯甲烷
75-09-2 908525
Ethyl acetate, 99.5%, SuperDry, J&KSeal
乙酸乙酯
141-78-6 954403
Petroleum ether, SuperDry, boiling range 60 - 90 ℃, J&KSeal
石油醚
8032-32-4 985069
More
实验室通用仪器耗材
品名 规格 货号
5 mm NMR Economy Sample Tube w/ Cap, 7" L 100 Pk, High-Throughput
5毫米高通量经济型核磁管
7英寸,100支/盒 WG-1000-7
TLC silica gel plate (fluorescent indicator), HPTLC, GF254, layer thickness 0.2-0.25 mm, 50*25 mm, 640 pcs/pack
薄层色谱硅胶板(含荧光) , 高效薄层层析硅胶GF254板
涂层厚度: 0.2-0.25 mm, 50*25 mm, 640片/盒 943013
Silica, powder, 200 mesh
硅胶
粉末, 200目 227600
Unheated magnetic stirrer, work plate material:Nylon+GF, max. stirring quantity[H2O]: 3L
不加热型磁力搅拌器
盘面: Nylon+GF, 工作盘面尺寸: φ135mm, 最大搅拌量[水]: 3L, 转速范围: 0-1500rpm 989082
More
相关产品
有机分子催化剂
手性催化剂和配体
参考文献
  1. Xiao W, Mo Y, Guo J, et al. Catalytic enantioselective synthesis of macrodiolides and their application in chiral recognition[J]. Chemical Science, 2021, 12(8): 2940-2947.
推荐阅读
冯氏配体——高效构建手性顺式氢化吲哚
冯氏配体——高效构建季碳中心,合成多种药物和天然产物中间体
冯氏配体——抗真菌药艾沙康唑、艾氟康唑关键中间体合成
冯氏配体——高效构建具有抗病毒、抗真菌、抗肿瘤活性的手性氮杂螺环氧化吲哚骨架
冯氏配体——高效构建具有抗病毒、抗真菌、抗肿瘤活性的三尖杉二萜优势骨架
冯氏配体——立体发散性合成具有抗癌活性的洛克米兰醇
冯氏配体——抗菌药“药效团”4-恶唑烷酮的光催化合成
冯氏配体——可用于尼群地平、尼莫地平和非洛地平合成
冯氏配体——动力学拆分法合成“药效团”α-亚甲基-γ-丁内酯
冯氏配体——产物可衍生为非达司他、瑞匹洛坦和沙立佐坦中间体
手性配体——品种齐全,选择性好,更有最新科研成果供应
    advertisement