How To Fight Body Odor – Causes and Solutions

时间: Invalid Date
作者: 百灵威
分享:
How To Fight Body Odor – Causes and Solutions-百灵威

Certain smells have the ability to calm us, like the smell of flowers or a freshly baked tray of cookies, while others like dirty laundry or musky mold warns of us potential issues. Most offensive odors come from relatively obvious sources, such as the smell of smoke from burnt food or the smell of chemicals in wet paint. However, some sources of unpleasant smells are less obvious and can be caused by odor-causing bacteria or mold.

Staphylococcus hominis is a type of bacteria that consumes lipids produced by apocrine glands present around the underarms, inside the ear, and between the legs. It consumes the odorless S-Cys-Gly-3M3SH and converts it to 3M3SH, a sulfurous molecule that smells like sweat and body odor and can linger on clothing and linens. Similarly, molds present in damp carpets or clothing produce microbial volatile organic compounds (mVOCs) which have strong moldy and musky odors.

Where’s that Smell Coming From?

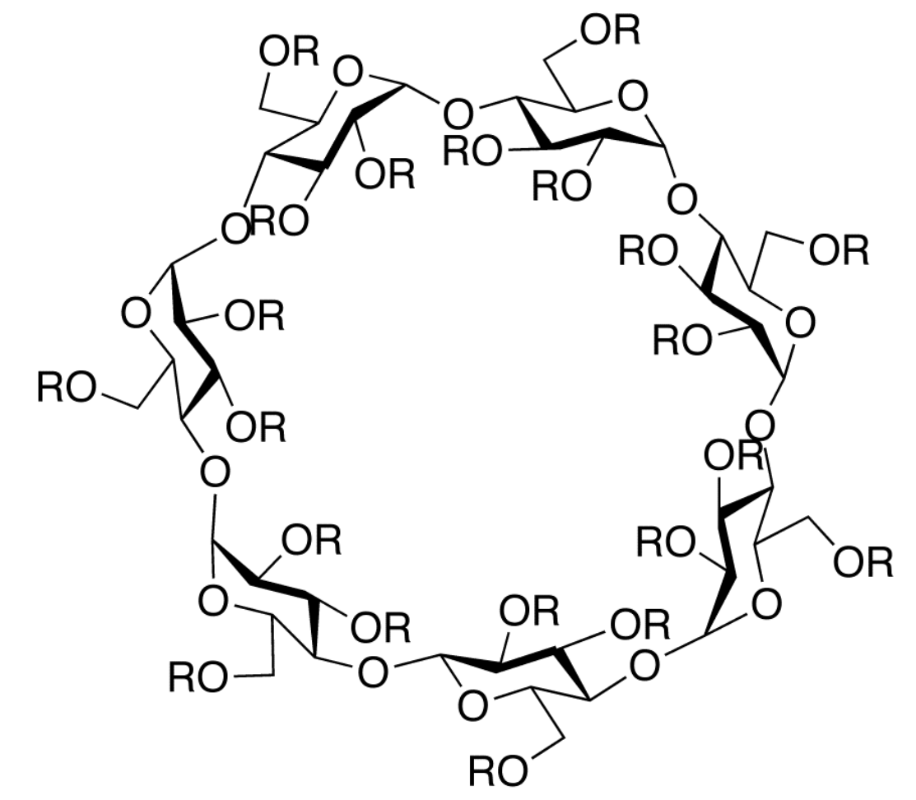
Odor-eliminating sprays use hydroxypropyl β-cyclodextrin (HPβCD) as its main active ingredient. This “funnel-shaped” HPβCD molecule binds to odor molecules and traps them, decreasing their volatility and unpleasant scents. However, during a test where rotten food and a litter box were placed in a room that was sprayed with an odor-eliminating spray, participants declared that the spray was ineffective and that the room still smelled “not exactly pleasant” and like “old garbage”.

Hydroxypropyl β-cyclodextrin (HPβCD), the active ingredient of odor-eliminating sprays
Hydroxypropyl β-cyclodextrin (HPβCD), the active ingredient of odor-eliminating sprays

How Can I Control Unpleasant Odors?

Unpleasant odors can be minimized using a variety of methods, including:

  • Using scented products such as candles or air fresheners to mask odors
  • Using activated charcoal or silica gel to chemically dissolve or absorb odors
  • Increasing ventilation by opening a window
  • While these methods are effective at reducing temporary odors like burnt plastic or a skunk walking by, it does not address the source of chronic odors, which return when the effects of these odor-controlling methods wear away. Odor-causing microbes can be destroyed by washing the offending item with hot water and soap and applying a disinfectant to eliminate bacteria and mold, yet this does not prevent the microbes from being reintroduced. Bio-Vanguard spray is a long-lasting antimicrobial that binds strongly to textiles, creating surface conditions that inhibit the growth of 99.9% of microbes, including Staphylococcus hominis. The treated fabric then becomes resistant against odor-causing bacteria and fungus for up to 30 days. Learn more about how this antimicrobial destroys microbes and eliminates unpleasant odors here.

    For information about bulk orders, custom formulations, or to learn more about how Bio-Vanguard can be incorporated into your products, contact us at info@bio-vanguard.com.
      advertisement