甲基苯基硅氧烷混合环体——有效环体含量高达98%——作废

时间: 2020-06-19
作者: 百灵威
分享:
甲基苯基硅氧烷混合环体——有效环体含量高达98%——作废-百灵威

百灵威是集研发、生产、经营于一体的高科技化学公司,在欧洲和亚洲的制造基地装备了500mL-3000L的反应釜,配套形成先进的柔性化学合成系统,专门研发特殊化学品和新型中间体,能够快速满足由应用性试验至工业化生产的个性化和系列化需求。

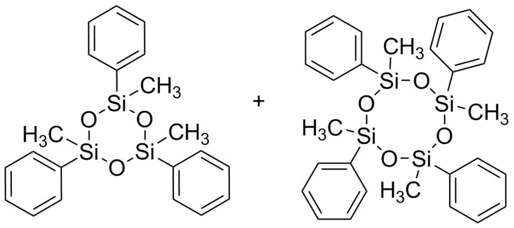
甲基苯基硅氧烷环体(917228),是1,3,5-三甲基-1,3,5-三苯基三硅氧烷环体和1,3,5,7-四甲基-1,3,5,7-四苯基四硅氧烷环体的混合环体。环体分子中含有对称均匀、耐高温性能优异的苯基基团,可阻止二甲基链节的低温结晶,使得含硅材料的耐高、低温性能得到大幅提高(-70℃~350℃)。与传统的硅材料相比,含苯基链节硅材料的耐辐射性能、阻燃防火性能、阻尼减震性能更加优异,因此被广泛应用于航空航天、新能源等众多尖端技术领域,成为不可或缺的重要高新技术材料。

  • 性价比高
  • 有效环体含量高达98%,不含三官能团杂质,品质卓越
  • 现货充足,克级至公斤级稳定提供,可定制包装
温馨提示:混合体中三环体常温下为固体,此产品如有少量固体析出,40-50℃稍加热则成液态,产品品质不发生变化。
    advertisement