缩合剂——反应速度快、产物消旋小

时间: 2020-03-24
作者: 百灵威
分享:
缩合剂——反应速度快、产物消旋小-百灵威

在众多的多肽化学合成方法中,缩合剂法目前应用较为广泛,其应用范围已扩展到整个有机合成领域,用于高效合成酰胺、酯、大环内酰胺等。

目前,已报道的多肽缩合试剂有很多,但影响较大,应用较为广泛的缩合剂从分子结构角度主要分为碳二亚胺类型、磷正离子类型和脲正离子类型,其中以磷正离子和脲正离子型缩合剂性能为佳。

百灵威可提供几十种高纯缩合剂产品,诸如DIC、AOP、HOBt、HOAt等,可在温和条件下参与反应,反应速度快、产物消旋小、收率高,满足“原子经济性”的需求,国内现货充足,批次质量稳定

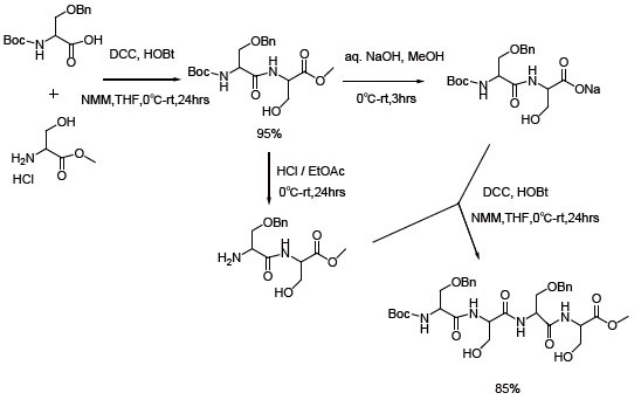
图1. 缩合剂用于多肽合成
图1. 缩合剂用于多肽合成
点击查看产品
180331
530-62-1
N,N'-Carbonyldiimidazole , CDI, 98%
N,N'-羰基二咪唑
978176
1122-28-7
4,5-Dicyanoimidazole, DCI, 99%
4,5-二氰基咪唑
275928
538-75-0
N,N'-Dicyclohexylcarbodiimide, DCC, 99%
二环己基碳二亚胺
134385
693-13-0
N,N'-Diisopropylcarbodiimide, DIC, 99%
N,N'-二异丙基碳二亚胺
963053
1892-57-5
1-(3-Dimethylaminopropyl)-3-ethylcarbodiimide, EDC, 97%, for synthesis
1-(3-二甲氨基丙基)-3-乙基碳二亚胺, 用于合成
211112
25952-53-8
N-(3-Dimethylaminopropyl)-N'-ethylcarbodiimide hydrochloride, EDC.HCl, 99%
N-(3-二甲氨基丙基)-N'-乙基碳二亚胺盐酸盐
117997
6066-82-6
N-Hydroxysuccinimide, NHS (HOSu), 98%
N-羟基丁二酰亚胺
183144
106627-54-7
N-Hydroxysulfosuccinimide sodium salt, Sulfo-NHS, 98%
N-羟基硫代琥珀酰亚胺钠盐
151585
56602-33-6
Benzotriazol-1-yloxytris(dimethylamino)-phosphonium hexafluorophosphate, BOP, 98%
苯并三唑-1-三(三甲氨基)-六氟磷酸酯,卡特缩合剂
154189
128625-52-5
Benzotriazole-1-yl-oxy-trispyrrolidinophosphonium hexafluorophosphate, 99%, PyBOP
六氟磷酸苯并三唑-1-基-氧基三吡咯烷基膦
241290
132705-51-2
Bromo-tris-pyrrolidino-phosphonium hexafluorophosphate, PyBrOP, 97%
三吡咯烷基溴化鏻六氟磷酸盐
249763
148893-10-1
O-(7-Azabenzotriazol-1-yl)-N,N,N',N'-tetramethyluronium hexafluorophosphate, HATU, 99%
O-(7-氮苯并三氮唑)-N,N,N',N'-四甲基脲六氟磷酸酯
172711
125700-67-6
O-(Benzotriazol-1-yl)-N,N,N',N'-tetra methyluronium tetrafluoroborate, TBTU, 97%
O-苯并三氮唑-N,N,N',N'-四甲基脲四氟硼酸酯
163735
94790-37-1
O-Benzotriazole-N,N,N',N'-tetramethyluronium hexafluorophosphate, HBTU, 99%
O-苯并三氮唑-N,N,N',N'-四甲基脲六氟磷酸酯
296131
330645-87-9
O-(1H-6-Chlorobenzotriazol-1-yl)-1,1,3,3-tetramethyluronium hexafluorophosphate, HCTU, 98%
6-氯苯并三氮唑-1,1,3,3-四甲基脲六氟磷酸酯
273795
26198-19-6
6-Chloro-1-hydroxybenzotriazol, Cl-HOBt, 98%
6-氯-1-羟基苯并三氮唑
405354
125700-71-2
O-(1,2-Dihydro-2-oxo-pyridyl)-1,1,3,3-tetramethyluronium tetrafluoroborate, TPTU, 99%
O-(1,2-二氢-2-氧-吡啶基)-1,1,3,3-四甲基脲四氟硼酸盐
159330
39968-33-7
1-Hydroxy-7-azabenzotriazole, HOAT, 98%
1-羟基-7-偶氮苯并三氮唑
195731
68641-49-6
Bis(2-oxo-3-oxazolidinyl)phosphinic chloride, BOP-Cl, 97%
二(2-氧代-3-唑烷基)次磷酰氯
186836
16357-59-8
N-Ethoxycarbonyl-2-ethoxy-1,2-dihydroquinoline, EEDQ, 98%
N-乙氧碳酰基-2-乙氧基-1,2-二氢喹啉
点击查看更多产品
    advertisement