麻生明院士科研成果|高产率和对映选择性制备含联烯的手性吡唑啉酮

时间: 2025-03-13
作者: 百灵威
分享:
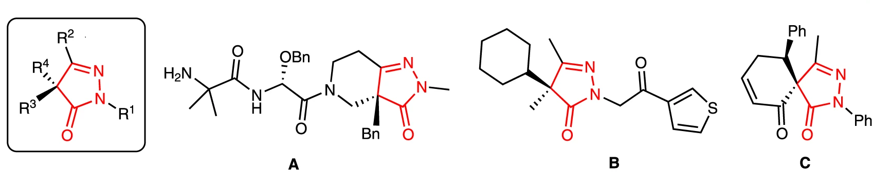
    吡唑啉酮是一类具有生物活性的重要杂环化合物,尤其是具有手性中心的吡唑啉酮衍生物,例如图1中的化合物A是口服活性生长激素促分泌剂;化合物B可用作TRPM8的调节剂;化合物C具有显著的抗肿瘤活性。因此,手性吡唑啉酮衍生物的合成受到广泛关注。
图1 具有生物活性的手性吡唑啉酮衍生物
图1 具有生物活性的手性吡唑啉酮衍生物
    因为联烯单元和吡唑啉酮一样具有独特的生物活性,中国科学院麻生明院士课题组考虑通过钯催化吡唑啉酮与联烯发生不对称2,3-烯丙基化反应,制备含有联烯的手性吡唑啉酮。他们研究了10多种市售的手性配体,其中Trost配体L11能以84%的产率和75% ee获得目标产物(S)-3aa,进一步对反应条件进行优化后,产率和对映选择性有所提高(图2),但仍然不够理想。
图2 钯和市售手性配体催化吡唑啉酮与联烯的不对称2,3-烯丙基化反应
图2 钯和市售手性配体催化吡唑啉酮与联烯的不对称2,3-烯丙基化反应
    受冯氏配体中构象灵活的烷基链的启发,麻生明院士课题组用柔性的烷基接头代替了Trost配体中刚性的芳基接头,通过微调Trost配体开发了一类柔性手性配体——ZYC-Phos配体(图3),并将其用于钯催化吡唑啉酮不对称2,3-烯丙基化,以优异的产率(99%)和对映选择性(97%ee)获得了含联烯结构的手性吡唑啉酮(图4)[1]。该反应官能团容忍度高,灵活性强,在不对称烯丙基化反应中显示出巨大的应用潜力。
图3 ZYC-Phos配体的设计理念
图3 ZYC-Phos配体的设计理念
图4 Pd/ ZYC-Phos催化吡唑啉酮与联烯的不对称2,3-烯丙基化反应
图4 Pd/ ZYC-Phos催化吡唑啉酮与联烯的不对称2,3-烯丙基化反应

    百灵威可供应中国科学院麻生明院士开发的100多种联烯化合物,涵盖联烯、联烯胺、联烯酮、联烯醇等不同系列,以及10多种联烯合成原料炔丙醇类化合物,纯度95%以上,结构多样,满足您的不同需求。

    此外,百灵威还独家供应四川大学冯小明院士开发的冯氏配体系列产品,现货充足,可用作有机小分子催化剂,也可作为配体与多种金属形成配合物催化剂,可高效实现50多种不对称催化反应。

联烯化合物

1

品名:
1,2-Undecadiene, 95%
1,2-十一碳二烯
CAS:56956-46-8
货号:9393981

2

品名:
tert-Butyldimethyl(penta-3,4-dien-1-yloxy)silane, 95%
叔丁基二甲基(五-3,4-二烯-1-氧基)硅烷
CAS:141081-41-6
货号:9393982

3

品名:
Hepta-1,2-dien-3-ylbenzene, 95%
庚-1,2-二烯-3-基苯
CAS:64275-33-8
货号:9393983

4

品名:
5-Ethenylidenenonane, 95%
5-亚乙基烯酮
CAS:917756-12-8
货号:9393984

5

品名:
3-Methyldodeca-1,2-diene, 95%
3-甲基十二碳-1,2-二烯
CAS:1206588-16-0
货号:9393996

6

品名:
7-Methylpentadeca-7,8-diene, 95%
7-甲基十五碳-7,8-二烯
CAS:1492913-80-0
货号:9394018

7

品名:
1-Bromo-4-(hepta-1,2-dien-3-yl)benzene, 95%
1-溴-4-(庚-1,2-二烯-3-基)苯
CAS:1057675-16-7
货号:9394019

8

品名:
1-Fluoro-4-(penta-1,2-dien-3-yl)benzene, 95%
1-氟-4-(五-1,2-二烯-3-基)苯
CAS:1375004-72-0
货号:9394020

9

品名:
1-Chloro-4-(penta-1,2-dien-3-yl)benzene, 95%
1-氯-4-(五-1,2-二烯-3-基)苯
CAS:503315-36-4
货号:9394021

10

品名:
1-(1-Ethyl-1,2-propadienyl)-4-methylbenzene, 95%
1-(1-乙基-1,2-丙二烯基)-4-甲基苯
CAS:1041791-82-5
货号:9394022

11

品名:
1-Chloro-3-(penta-1,2-dien-3-yl)benzene, 95%
1-氯-3-(五-1,2-二烯-3-基)苯
CAS:N/A
货号:9394023

12

品名:
(Buta-2,3-dien-1-yloxy)(tert-butyl)dimethylsilane, 95%
(丁-2,3-二烯-1-氧基)(叔丁基)二甲基硅烷
CAS:917756-12-8
货号:9393984

13

品名:
1-Chloro-4-(hepta-1,2-dien-3-yl)benzene, 95%
1-氯-4-(庚-1,2-二烯-3-基)苯
CAS:N/A
货号:9394028

14

品名:
1-(1-Ethyl-1,2-propadienyl)-4-bromobenzene, 95%
1-(1-乙基-1,2-丙二烯基)-4-溴苯
CAS:1041791-88-1
货号:9394029

15

品名:
1-Fluoro-4-(hexa-4,5-dien-1-yloxy)benzene, 95%
1-氟-4-(六-4,5-二烯-1-氧基)苯
CAS:N/A
货号:9394030

16

品名:
1-Chloro-4-(hexa-4,5-dien-1-yloxy)benzene, 95%
1-氯-4-(六-4,5-二烯-1-氧基)苯
CAS:N/A
货号:9394031

17

品名:
(4-Vinylidenecyclohexyl)benzene, 95%
(4-亚乙烯基环己基)苯
CAS:1082207-43-9
货号:9394032

18

品名:
((Buta-2,3-dien-1-yloxy)methyl)benzene, 95%
((丁烷-2,3-二烯-1-氧基)甲基)苯
CAS:75405-55-9
货号:9394033

19

品名:
N,N-Dibenzylbuta-2,3-dien-1-amine, 95%
N,N-二苄基丁-2,3-二烯-1-胺
CAS:N/A
货号:9394034

20

品名:
2-(Buta-2,3-dien-2-yl)naphthalene, 95%
2-(丁烷-2,3-二烯-2-基)萘
CAS:1623753-06-9
货号:9394035

21

品名:
1-(Buta-2,3-dien-2-yl)naphthalene, 95%
1-(丁烷-2,3-二烯-2-基)萘
CAS:1115021-07-2
货号:9394036

22

品名:
tert-Butyldimethylsilyl 4,4-pentamethylene-2,3-butadienyl ether, 95%
叔丁基二甲基硅烷基4,4-五亚甲基-2,3-丁二烯基醚
CAS:1089711-69-2
货号:9394037

23

品名:
8-Vinylidene-1,4-dioxa-spiro4.5decane, 95%
8-亚乙烯-1,4-二氧杂螺4.5癸烷
CAS:226212-58-4
货号:9394038

24

品名:
1-(Hexa-4,5-dien-1-yl)-1H-pyrrole, 95%
1-(六-4,5-二烯-1-基)-1H-吡咯
CAS:N/A
货号:9394039

25

品名:
1-((Buta-2,3-dien-1-yloxy)methyl)-4-methylbenzene, 95%
1-((丁烷-2,3-二烯-1-氧基)甲基)-4-甲基苯
CAS:N/A
货号:9394050

26

品名:
1-((Buta-2,3-dien-1-yloxy)methyl)-4-chlorobenzene, 95%
1-((丁烷-2,3-二烯-1-氧基)甲基)-4-氯苯
CAS:N/A
货号:9394051

27

品名:
1-Bromo-4-((buta-2,3-dien-1-yloxy)methyl)benzene, 95%
1-溴-4-((丁-2,3-二烯-1-氧基)甲基)苯
CAS:N/A
货号:9394052

28

品名:
4-((Buta-2,3-dien-1-yloxy)methyl)-1,1'-biphenyl, 95%
4-((丁烷-2,3-二烯-1-氧基)甲基)-1,1'-联苯
CAS:N/A
货号:9394053

29

品名:
tert-Butyl((3-cyclopentylideneallyl)oxy)dimethylsilane, 95%
叔丁基((3-环亚戊基烯丙基)氧基)二甲基硅烷
CAS:N/A
货号:9394054

30

品名:
tert-Butyldimethyl((4-methyl-6-phenylhexa-2,3-dien-1-yl)oxy)silane, 95%
叔丁基二甲基((4-甲基-6-苯基六-2,3-二烯-1-基)氧基)硅烷
CAS:N/A
货号:9394055

31

品名:
tert-Butyl((4,5-dimethylhexa-2,3-dien-1-yl)oxy)dimethylsilane, 95%
叔丁基((4,5-二甲基六-2,3-二烯-1-基)氧基)二甲基硅烷
CAS:N/A
货号:9394056

32

品名:
((3-(1,4-Dioxaspiro[4.5]decan-8-ylidene)allyl)oxy)(tert-butyl)dimethylsilane, 95%
(3-(1,4-二恶螺[4.5]癸-8-亚基)烯丙基)氧基)(叔丁基)二甲基硅烷
CAS:N/A
货号:9394057

33

品名:
2-(Buta-2,3-dien-1-yloxy)tetrahydro-2H-pyran, 95%
2-(丁烷-2,3-二烯-1-氧基)四氢-2H-吡喃
CAS:90733-16-7
货号:9394058

34

品名:
(S)-tert-Butyl((4-cyclohexylbuta-2,3-dien-1-yl)oxy)dimethylsilane, 95%
(S)-叔丁基((4-环己基丁基-2,3-二烯-1-基)氧基)二甲基硅烷
CAS:N/A
货号:9394059

35

品名:
6-(Toluene-4-sulfonyloxy)-hexa-1,2-diene, 95%
6-(甲苯-4-磺酰氧基)-六-1,2-二烯
CAS:72051-04-8
货号:9394095

36

品名:
1-(Hexa-4,5-dien-1-yl)-1H-indole, 95%
1-(六-4,5-二烯-1-基)-1H-吲哚
CAS:N/A
货号:9393990

37

品名:
1-(1-Butyl-1,2-propadienyl)-4-methylbenzene, 95%
1-(1-丁基-1,2-丙二烯基)-4-甲基苯
CAS:1008519-27-4
货号:9393995

1

品名:
(S)-N-(4-Cyclohexylbuta-2,3-dien-1-yl)-4-methylbenzenesulfonamide, 95%
(S)-N-(4-环己基丁基-2,3-二烯-1-基)-4-甲基苯磺酰胺
CAS:2305988-38-7
货号:9393999

2

品名:
(R)-N-(4-Cyclohexylbuta-2,3-dien-1-yl)-4-methylbenzenesulfonamide, 95%
(R)-N-(4-环己基丁基-2,3-二烯-1-基)-4-甲基苯磺酰胺
CAS:1401312-04-6
货号:9394000

3

品名:
(S)-N-(Octa-2,3-dien-1-yl)benzamide, 95%
(S)-N-(八-2,3-二烯-1-基)苯甲酰胺
CAS:N/A
货号:9394001

4

品名:
(R)-N-(Octa-2,3-dien-1-yl)benzamide, 95%
(R)-N-(八-2,3-二烯-1-基)苯甲酰胺
CAS:N/A
货号:9394002

5

品名:
1-(Boc-amino)-2,3-butadiene, 95%
1-(Boc-氨基)-2,3-丁二烯
CAS:92136-43-1
货号:1737530

6

品名:
tert-Butyl (S)-octa-2,3-dien-1-ylcarbamate, 95%
(S)-八-2,3-二烯-1-基氨基甲酸叔丁酯
CAS:N/A
货号:9394004

7

品名:
tert-Butyl (R)-octa-2,3-dien-1-ylcarbamate, 95%
(R)-八-2,3-二烯-1-基氨基甲酸叔丁酯
CAS:N/A
货号:9394005

8

品名:
tert-Butyl (S)-(4-cyclohexylbuta-2,3-dien-1-yl)carbamate, 95%
(S)-(4-环己基丁基丁基-2,3-二烯-1-基)氨基甲酸叔丁酯
CAS:N/A
货号:9394006

9

品名:
tert-Butyl (R)-(4-cyclohexylbuta-2,3-dien-1-yl)carbamate, 95%
(R)-(4-环己基丁基丁基-2,3-二烯-1-基)氨基甲酸叔丁酯
CAS:2649314-51-0
货号:9394007

10

品名:
N-(Buta-2,3-dien-1-yl)-2-naphthamide, 95%
N-(丁烷-2,3-二烯-1-基)-2-萘酰胺
CAS:1611461-18-7
货号:9394009

11

品名:
N-(Buta-2,3-dien-1-yl)-4-methylbenzamide, 95%
N-(丁烷-2,3-二烯-1-基)-4-甲基苯甲酰胺
CAS:1410038-63-9
货号:9394010

12

品名:
N-(Buta-2,3-dien-1-yl)-4-fluorobenzamide, 95%
N-(丁烷-2,3-二烯-1-基)-4-氟苯甲酰胺
CAS:1410038-53-7
货号:9394011

13

品名:
(S)-N-(4-Cyclohexylbuta-2,3-dien-1-yl)-4-methylbenzamide, 95%
(S)-N-(4-环己基丁-2,3-二烯-1-基)-4-甲基苯甲酰胺
CAS:N/A
货号:9394012

14

品名:
(R)-N-(4-Cyclohexylbuta-2,3-dien-1-yl)-4-methylbenzamide, 95%
(R)-N-(4-环己基丁-2,3-二烯-1-基)-4-甲基苯甲酰胺
CAS:N/A
货号:9394013

15

品名:
(S)-N-(4-Cyclohexylbuta-2,3-dien-1-yl)-4-fluorobenzamide, 95%
(S)-N-(4-环己基丁-2,3-二烯-1-基)-4-氟苯甲酰胺
CAS:N/A
货号:9394014

16

品名:
(R)-N-(4-Cyclohexylbuta-2,3-dien-1-yl)-4-fluorobenzamide, 97%
(R)-N-(4-环己基丁-2,3-二烯-1-基)-4-氟苯甲酰胺
CAS:N/A
货号:9394015

17

品名:
(S)-4-Methyl-N-(octa-2,3-dien-1-yl)benzamide, 95%
(S)-4-甲基-N-(八-2,3-二烯-1-基)苯甲酰胺
CAS:N/A
货号:9394016

18

品名:
(R)-4-Methyl-N-(octa-2,3-dien-1-yl)benzamide, 95%
(R)-4-甲基-N-(八-2,3-二烯-1-基)苯甲酰胺
CAS:N/A
货号:9394017

19

品名:
(S)-4-Fluoro-N-(octa-2,3-dien-1-yl)benzamide, 95%
(S)-4-氟-N-(八-2,3-二烯-1-基)苯甲酰胺
CAS:N/A
货号:9394025

20

品名:
(R)-4-Fluoro-N-(octa-2,3-dien-1-yl)benzamide, 95%
(R)-4-氟-N-(八-2,3-二烯-1-基)苯甲酰胺
CAS:N/A
货号:9394026

21

品名:
(S)-N-(5-Ethylhepta-2,3-dien-1-yl)-4-methylbenzenesulfonamide, 95%
(S)-N-(5-乙基庚-2,3-二烯-1-基)-4-甲基苯磺酰胺
CAS:N/A
货号:9394040

22

品名:
(R)-N-(5-Ethylhepta-2,3-dien-1-yl)-4-methylbenzenesulfonamide, 95%
(R)-N-(5-乙基庚-2,3-二烯-1-基)-4-甲基苯磺酰胺
CAS:N/A
货号:9394041

23

品名:
(S)-4-Methyl-N-(6-phenylhexa-2,3-dien-1-yl)benzenesulfonamide, 95%
(S)-4-甲基-N-(6-苯基六-2,3-二烯-1-基)苯磺酰胺
CAS:N/A
货号:9394042

24

品名:
(R)-4-Methyl-N-(6-phenylhexa-2,3-dien-1-yl)benzenesulfonamide, 95%
(R)-4-甲基-N-(6-苯基六-2,3-二烯-1-基)苯磺酰胺
CAS:N/A
货号:9394043

25

品名:
(S)-N-(4-Cyclopropylbuta-2,3-dien-1-yl)-4-methylbenzenesulfonamide, 95%
(S)-N-(4-环丙基丁基-2,3-二烯-1-基)-4-甲基苯磺酰胺
CAS:N/A
货号:9394044

26

品名:
(R)-N-(4-Cyclopropylbuta-2,3-dien-1-yl)-4-methylbenzenesulfonamide, 95%
(R)-N-(4-环丙基丁基-2,3-二烯-1-基)-4-甲基苯磺酰胺
CAS:N/A
货号:9394045

27

品名:
(S)-N-(6,6-Dimethylhepta-2,3-dien-1-yl)-4-methylbenzenesulfonamide, 95%
(S)-N-(6,6-二甲基庚-2,3-二烯-1-基)-4-甲基苯磺酰胺
CAS:N/A
货号:9394046

28

品名:
(R)-N-(6,6-Dimethylhepta-2,3-dien-1-yl)-4-methylbenzenesulfonamide, 95%
(R)-N-(6,6-二甲基庚-2,3-二烯-1-基)-4-甲基苯磺酰胺
CAS:N/A
货号:9394047

29

品名:
(S)-4-Methyl-N-(6-methylhepta-2,3-dien-1-yl)benzenesulfonamide, 95%
(S)-4-甲基-N-(6-甲基庚-2,3-二烯-1-基)苯磺酰胺
CAS:N/A
货号:9394048

30

品名:
(R)-4-Methyl-N-(6-methylhepta-2,3-dien-1-yl)benzenesulfonamide, 95%
(R)-4-甲基-N-(6-甲基庚-2,3-二烯-1-基)苯磺酰胺
CAS:N/A
货号:9394049

31

品名:
N-(Buta-2,3-dien-1-yl)benzamide, 99.5%
N-(丁烷-2,3-二烯-1-基)苯甲酰胺
CAS:1310558-69-0
货号:9393986

32

品名:
N-(Buta-2,3-dien-1-yl)-4-methylbenzenesulfonamide, 98%
N-(丁烷-2,3-二烯-1-基)-4-甲基苯磺酰胺
CAS:346587-69-7
货号:9393987

33

品名:
(S)-4-Methyl-N-(octa-2,3-dien-1-yl)benzenesulfonamide, 95%
(S)-4-甲基-N-(八-2,3-二烯-1-基)苯磺酰胺
CAS:2866045-24-9
货号:9393988

34

品名:
(R)-4-Methyl-N-(octa-2,3-dien-1-yl)benzenesulfonamide, 95%
(R)-4-甲基-N-(八-2,3-二烯-1-基)苯磺酰胺
CAS:2305988-36-5
货号:9393989

35

品名:
(S)-N-(4-Cyclohexylbuta-2,3-dien-1-yl)benzamide, 97%
(S)-N-(4-环己基丁基-2,3-二烯-1-基)苯甲酰胺
CAS:N/A
货号:9393993

36

品名:
(R)-N-(4-Cyclohexylbuta-2,3-dien-1-yl)benzamide, 95%
(R)-N-(4-环己基丁基-2,3-二烯-1-基)苯甲酰胺
CAS:2649314-53-2
货号:9393994

1

品名:
1-Phenylbuta-2,3-dien-1-one, 99.5%
1-苯基丁-2,3-二烯-1-酮
CAS:69626-39-7
货号:9342743

2

品名:
1-(Hexa-4,5-dien-1-yl)pyridin-2(1H)-one, 95%
1-(六-4,5-二烯-1-基)吡啶-2(1H)-酮
CAS:N/A
货号:9393997

1

品名:
1-Propa-1,2-dienylcyclohexan-1-ol, 95%
1-丙基-1,2-二烯基环己烷-1-醇
CAS:34761-56-3
货号:9393998

2

品名:
(3R)-1-Phenylocta-2,3-dien-1-ol, 95%
(3R)-1-苯基辛烷-2,3-二烯-1-醇
CAS:N/A
货号:9394003

3

品名:
(S)-1-(Buta-1,2-dien-1-yl)-1-methylcyclohexane, 95%
(S)-1-(丁-1,2-二烯-1-基)-1-甲基环己烷
CAS:N/A
货号:9394008

4

品名:
(S)-5-Cyclohexyl-2-methylpenta-3,4-dien-2-ol, 95%
(S)-5-环己基-2-甲基戊基-3,4-二烯-2-醇
CAS:344775-04-8
货号:9394027

5

品名:
(R)-5-Cyclohexyl-2-methylpenta-3,4-dien-2-ol, 95%
(R)-5-环己基-2-甲基戊基-3,4-二烯-2-醇
CAS:344775-04-8
货号:966784

6

品名:
Nona-1,2-dien-4-ol, 95%
壬-1,2-二烯-4-醇
CAS:73229-28-4
货号:9393985

7

品名:
3-Methyl-5-phenyl-2(5H)-furanone, 95%
3-甲基-5-苯基-2(5H)-呋喃酮
CAS:5732-13-8
货号:9394094

8

品名:
Hexa-4,5-dien-1-ol, 95%
己烷-4,5-二烯-1-醇
CAS:40365-64-8
货号:151075

9

品名:
(R)-5-Cyclohexylpenta-3,4-dien-1-ol, 95%
(R)-5-环己基戊基-3,4-二烯-1-醇
CAS:N/A
货号:9393992

10

品名:
(S)-5-Cyclohexylpenta-3,4-dien-1-ol, 95%
(S)-5-环己基戊基-3,4-二烯-1-醇
CAS:N/A
货号:9393991

1

品名:
1-Phenyl-2-heptyn-1-ol, 95%
1-苯基-2-庚炔-1-醇
CAS:2108-51-2
货号:9394060

2

品名:
2-Phenyloct-3-yn-2-ol, 95%
2-苯基辛-3-炔-2-醇
CAS:18215-71-9
货号:9394061

3

品名:
2-(p-Tolyl)oct-3-yn-2-ol, 95%
2-(对甲苯基)辛-3-炔-2-醇
CAS:N/A
货号:9394062

4

品名:
1-(Hex-1-yn-1-yl)cyclobutanol, 95%
1-(己基-1-炔-1-基)环丁醇
CAS:356785-64-3
货号:9394063

5

品名:
5-Ethylundec-6-yn-5-ol, 95%
5-十一烷基-6-炔-5-醇
CAS:N/A
货号:9394064

6

品名:
1-Hex-1-ynylcyclohexan-1-ol, 95%
1-己基-1-炔基环己烷-1-醇
CAS:15332-33-9
货号:9394065

7

品名:
2-(2-Bromophenyl)oct-3-yn-2-ol, 95%
2-(2-溴苯基)辛-3-炔-2-醇
CAS:N/A
货号:9394066

8

品名:
2-(3-Bromophenyl)oct-3-yn-2-ol, 95%
2-(3-溴苯基)辛-3-炔-2-醇
CAS:N/A
货号:9394067

9

品名:
Methyl 4-(2-hydroxyoct-3-yn-2-yl)benzoate, 95%
4-(2-羟基辛-3-炔-2-基)苯甲酸甲酯
CAS:N/A
货号:9394069

10

品名:
2-Phenyl-3-nonyn-2-ol, 95%
2-苯基-3-壬炔-2-醇
CAS:N/A
货号:9394071

11

品名:
1-(4-Fluorophenyl)-1-phenylhept-2-yn-1-ol, 95%
1-(4-氟苯基)-1-苯基庚-2-炔-1-醇
CAS:N/A
货号:9394073

12

品名:
2-Phenyl-4-(p-tolyl)but-3-yn-2-ol, 95%
2-苯基-4-(对甲苯)丁-3-炔-2-醇
CAS:N/A
货号:9394074

13

品名:
2,4-Diphenylbut-3-yn-2-ol, 95%
2,4-二苯基丁-3-炔-2-醇
CAS:5876-69-7
货号:416572

14

品名:
2-Phenyl-4-(trimethylsilyl)but-3-yn-2-ol, 95%
2-苯基-4-(三甲基甲硅烷基)丁-3-炔-2-醇
CAS:N/A
货号:9394075

15

品名:
2-(4-Bromophenyl)oct-3-yn-2-ol, 95%
2-(4-溴苯基)辛-3-炔-2-醇
CAS:N/A
货号:9394068

16

品名:
5-Phenylundec-6-yn-5-ol, 95%
5-十一碳-6-炔-5-醇
CAS:N/A
货号:9394070

17

品名:
5-Chloro-2-phenylpent-3-yn-2-ol, 95%
5-氯-2-苯基戊基-3-炔-2-醇
CAS:N/A
货号:9394072
冯氏配体

1

品名:
NO-Feng-PDiPPPi, L-PiPr2, 99%
NO-冯-PDiPPPi
CAS:1000051-40-0
货号:1595285

2

品名:
NO-Feng-PTMPPP, L-PiMe3, 99%
NO-冯-PTMPPP
CAS:1310585-10-4
货号:1595286

3

品名:
NO-Feng-PDEtPPi, L-PiEt2, 95%
NO-冯-PDEtPPi
CAS:1313215-46-1
货号:2699018

4

品名:
NO-Feng-PBuPPi, L-PitBu, 95%
NO-冯-PBuPPi
CAS:959152-93-3
货号:2699022

5

品名:
NO-Feng-PPhPPi, L-PiPh, 95%
NO-冯-PPhPPi
CAS:945564-77-2
货号:2699020

6

品名:
NO-Feng-PBnPPi, L-PiBn, 95%
NO-冯-PBnPPi
CAS:1085279-20-4
货号:2699021

7

品名:
NO-Feng-PDEtMPPi, L-PiEt2Me, 95%
NO-冯-PDEtMPPi
CAS:1502814-74-5
货号:2699019

8

品名:
NO-Feng-PCyPPi, L-PicH, 95%
NO-冯-PCyPPi
CAS:1017605-60-5
货号:2699023

9

品名:
NO-Feng-PDMPPi, L-PiMe2, 95%
NO-冯-PDMPPi
CAS:1227411-35-9
货号:2699017

1

品名:
NO-Feng-PDiPPPr, L-PrPr2, 99%
NO-冯-PDiPPPr
CAS:945564-85-2
货号:1595283

2

品名:
NO-Feng-PDMPPy, L-PrMe2, 99%
NO-冯-PDMPPy
CAS:1330533-36-2
货号:1595284

3

品名:
NO-Feng-PDPhMPPr, L-PrCPh2, 95%
NO-冯-PDPhMPPr
CAS:870716-88-4
货号:2699016

4

品名:
NO-Feng-PDEtPPr, L-PrEt2, 95%
NO-冯-PDEtPPr
CAS:1313215-45-0
货号:2699012

5

品名:
NO-Feng-PBnPPr, L-PrBn, 95%
NO-冯-PBnPPr
CAS:870716-86-2
货号:2699014

6

品名:
NO-Feng-PPhPPr, L-PrPh, 95%
NO-冯-PPhPPr
CAS:945564-81-8
货号:2699013

7

品名:
NO-Feng-PDEtMPPr, L-PrEt2Me 95%
NO-冯-PDEtMPPr
CAS:1502814-73-4
货号:2699015

1

品名:
NO-Feng-PDiPPRa, L-RaPr2, 95%
NO-冯-PDiPPRa
CAS:1005495-74-8
货号:1595287

2

品名:
NO-Feng-PDMPRa, L-RaMe2, 99%
NO-冯-PDMPRa
CAS:1132049-44-5
货号:1595288
参考文献
  1. Zhang Y , Zhang X , Ma S .Stretchable chiral pockets for palladium-catalyzed highly chemo- and enantioselective allenylation[J].Nature Communications.
推荐阅读
麻生明院士科研成果|联烯化合物立体选择性合成多元支链1,3-二烯烃
麻生明院士科研成果|光催化联烯制备4-磺酰化呋喃-2(5H)-酮类化合物
麻生明院士科研成果|Pd/Brønsted酸协同催化,构建联烯基氧膦化合物
多肽缩合剂研究进展盘点,可供应新型联烯酮类缩合剂
冯氏配体——近3年在活性天然产物和药物合成领域的应用研究
    advertisement